Estimada comunidad:
Se comunica que se envió al Comité de Administración del condominio la lista de morosidad por concepto de gastos comunes.
Por lo tanto, se comunica a la comunidad que los cortes de suministro eléctrico para unidades morosas, en conformidad con la Ley de Copropiedad Inmobiliaria, se llevará a cabo el día 26 DE MAYO DE 2025.
Información importante
Ingresos
Para este comunicado se consideran los ingresos por vía oficial hasta el 17/05/2025 a las 17:25 horas. Si usted pagó antes de dicha fecha/hora y no tiene su comprobante, lo debe reenviar porque no recibimos información completa de su pago. Por el contrario, si pagó después de dicha fecha, espere confirmación de la recepción de su pago.
A considerar
Los medios por los que se reciben comprobantes es el correo electrónico de siempre: chaltosdelboldo@gmail.com, el presente portal sección TRÁMITES y EDIPRO. Recuerde que debe ingresar su departamento en el mensaje de la transferencia.
Convenios de pago.
Si usted tiene morosidad con convenio de pago vigente, NO PUEDE GENERAR UN NUEVO CONVENIO, por tanto, debe regularizar sin opción de repactación.
DATOS DE TRANSFERENCIA:
- Conjunto Habitacional Altos del Boldo
- Cuenta Corriente No. 989501089, Banco Scotiabank
- RUT: 65.094.634-0
- mail: chaltosdelboldo@gmail.com
LOS DATOS DE LA CUENTA ACTUAL ESTÁN, DE IGUAL MANERA, EN LA COLILLA DE GGCC.
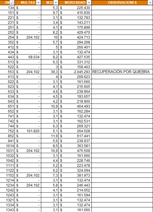
Unidades afectas a corte

Descargar acta
Puede descargar el acta del Comité de Administración haciendo clic en el siguiente botón.
Si no puede visualizar el documento haga clic AQUÍ